الاسئله المهمه في رياضيات الثالث متوسط والشامله لكل المنهج للامتحانات النهائيه مع الاجوبه والحلول النموذجيه
اهلا وسهلا بكم في موقع اتعلم ويانه الخاص باحمد الداوودي
للاشتراك بقناة التلكرام التربويه الاخباريه | اضغط هنا
الموقع التربوي الاول | اضغط هنا
الموقع التربوي الثاني | اضغط هنا
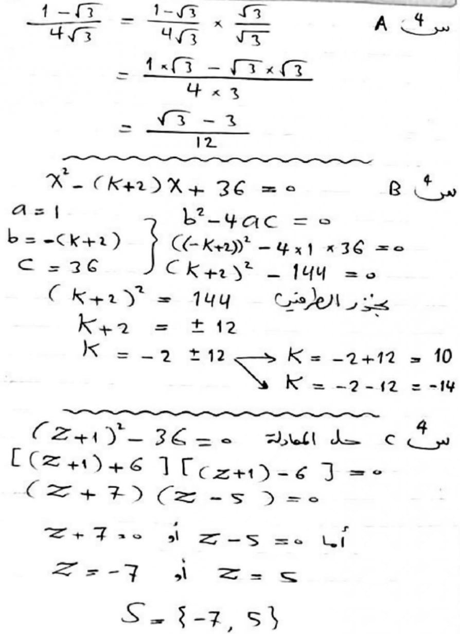
اسئلة شامله مع الحلول لمادة الرياضيات للصف الثالث متوسط
![]() |
| اسئلة شامله مع الحلول لمادة الرياضيات للصف الثالث متوسط |
![]() |
| اسئلة شامله مع الحلول لمادة الرياضيات للصف الثالث متوسط |
الى متابعي قنوات احمد الداوودي و اتعلم ويانه للاطلاع على اخر الاخبار والمستجدات لمختلف المجالات من خلال قنوات التواصل والمواقع المذكوره ادناه . ⬇️
الموقع بأدارة احمد الداوودي
اليكم جميع روابط القنوات التابعه لنا للتواصل والاستفاده
اهم الاسئله الشامله مع الحلول لمادة الرياضيات للصف الثالث متوسط






